1.2. Estructuras lógicas de control
- Secuencia.- sucesión lineal de instrucciones o subrutinas.
 - Selección.- bifurcación condicional para ejecutar una u otra subrutina.
 - Iteración.- repetición de una instrucción o subrutina mientras se cumple una condición.
 
| Secuencia  | 
		
Los bloques o subrutinas que componen el programa se ejecutan en el orden en el que aparecen. Estos bloques pueden ser simples instrucciones o programas en sí mismos (tienen una entrada y una salida definidas y ejecutan una tarea).
La unión de varios bloques compone a su vez un programa estructurado.
 ![]()  | 
		|
 ![]()  | 
		
El programa deberá realizar las siguientes acciones:
- Leer el valor del radio tecleado.
 - Asignarlo a la variable radio.
 - Calcular el área multiplicando la constante pi por el radio al cuadrado.
 - Mostrar el resultado de la variable área.
 
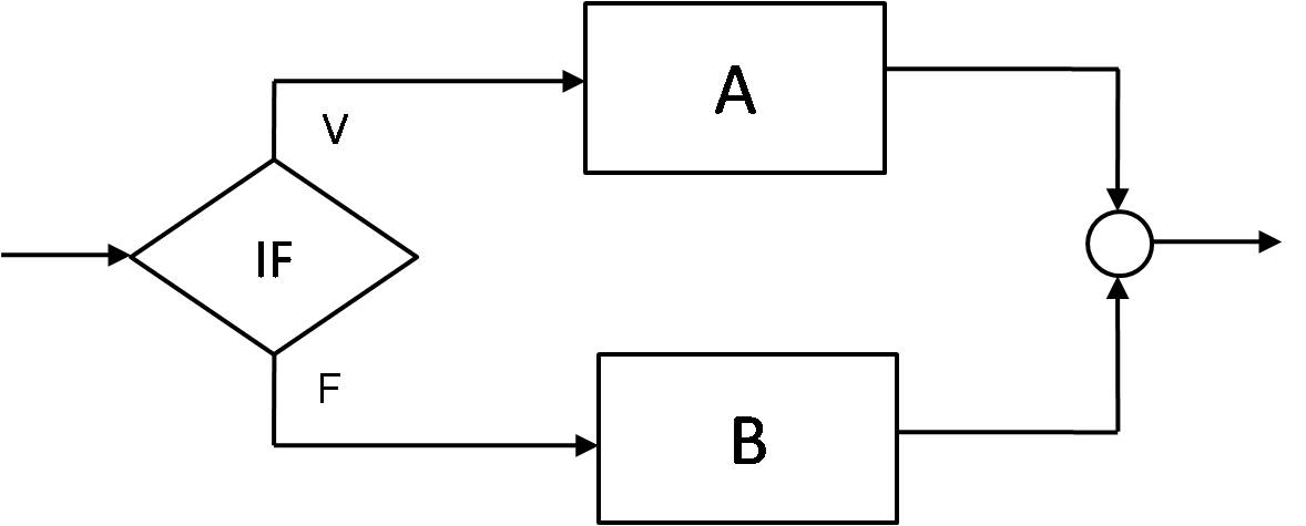
| Selección   | 
		
Un bloque se ejecuta si una condición es verdadera. Se basa en la elección entre dos opciones y se denomina IF-THEN-ELSE (Si-entonces-si no). En esta estructura, la condición debe poder tomar únicamente los valores verdadero y falso, es decir debe ser booleana.
La pregunta se representa con la figura de un rombo cuyas salidas son las entradas de los bloques A y B.
Si la condición es verdadera, se ejecutará el bloque A. Si la condición es falsa, se ejecutará el bloque B. En ambos casos, ofrece una salida.
 ![]()  | 
			![]()  | 
		
- Leer los dos números y asignarlos a las variables numeroA y numeroB.
 - Comparar ambas variables.
 - Si numeroA es mayor que numeroB escribir "A es mayor que B".
 - Si no, escribir "B es mayor que A".
 
| Iteración | 
		
La acción o subrutina se ejecutará mientras el valor de una condición sea verdadero. Se denomina DO-WHILE (hacer-mientras).
   | 
		
- Leer el número entero y asignarlo a la variable contador.
 - Asignar a la variable factorial el valor 1 para comenzar el proceso.
 - Mientras la variable contador sea mayor que 0, multiplicar el factorial por el contador.
 - Restar 1 a la variable contador.
 
| 1.- Programar el secundero de un reloj. | |||
| a) Secuencia | b) Selección | c) Iteración |          
 
      | 
		
| 2.- Imprimir un texto introducido mediante el teclado y mostrarlo en pantalla. | 
		|||
| a) Secuencia   | 
			b) Selección  | 
			c) Iteración   | 
			|
| 3.- Hacer un censo por sexos. | 
		|||
| a) Secuencia   | 
			b) Selección  | 
			c) Iteración   | 
			|



