7. Asociación de resistencias
|
Todos los receptores o en nuestro caso las Resistencias, se pueden asociar y nos simplifica mucho a la hora de hacer ciertos cálculos como veremos más adelante. Recordaremos las formas básicas de asociación: Serie y paralelo, y después veremos 2 formas nuevas de asociación de resistencias: Estrella y Triangulo, asociaciones muy utilizadas en los motores trifásicos... Os toca sacar la calculadora... ¡A trabajar!
|
|||||||
|
Animación 2. Asociación de resistencias. Fuente: Banco de Imágenes del ITE Licencia: Creative Commons
|
|||||||
|
En un circuito eléctrico, es frecuente encontrarnos con más de una resistencia y en estos casos, a fin de proceder al estudio de dicho circuito, es conveniente poder simplificarlo, procediendo a asociar estas resistencias. Para ello se sustituyen dos o más resistencias por una única llamada resistencia equivalente, que consume la misma energía que el conjunto de las sustituidas. Esta asociación puede ser:
|
|||||||
|
ASOCIACIÓN EN SERIE: Sus características:
|
|
||||||
|
Imagen 30. Imagen de elaboración propia. |
|||||||
|
Teniendo en cuenta la Ley de Ohm:
Dividiendo por I, obtenermos:
Luego podemos decir que la resistencia equivalente de una asociación de dos o más resistencia en serie tiene un valor óhmico igual al resultado de sumar el valor de las resistencias que queremos asociar.
|
|||||||
|
ASOCIACIÓN EN PARALELO:
|
![]() |
||||||
|
Imagen 31. Imagen de elaboración propia.
|
|||||||
|
Como podemos observar:
Teniendo en cuenta la Ley de Ohm:
De donde fácilmente se puede deducir que:
Así, podemos decir que la inversa de la resistencia equivalente a una asociación en paralelo de dos o más resistencias, es igual a la suma de las inversas de las resistencias que estando en paralelo queremos asociar a fin de calcular su resistencia equivalente.
|
|||||||
|
ASOCIACIÓN MIXTA DE RESISTENCIAS:
Se entiende por asociación mixta, cuando existe una combinación de resistencias en serie y en paralelo.
Para el cálculo de la resistencia equivalente de esta combinación de resistencias, se procede a resolver por separado las agrupaciones serie (primero) y paralelo, anteriormente estudiadas. Si el circuito es complejo, muchas veces es conveniente, ir dibujando los diferentes circuitos resultantes de los pasos intermedios dados en cada agrupación, facilitando así los cálculos posteriores. Todo esto, se verá más claramente en la resolución del los diferentes ejercicios que se plantean. |
![]() |
||||||
|
Imagen 32.Imagen de elaboración propia.
|
|||||||
|
ASOCIACIÓN EN ESTRELLA Y EN TRIÁNGULO:
Este tipo de asociaciones, que tienen su importancia en diversos circuitos electrotécnico, como en el arranque de motores eléctricos (que se verá en unidades posteriores a esta), se explicarán directamente sobre su formulación matemática a través de su esquema, sin entrar en su demostración.
|
|||||||
|
|
|||||||
| Para transformar una conexión triángulo en estrella: | |||||||
|
|
|||||||
| Para transformar una conexión estrella en triángulo: | |||||||
|
|
|||||||
| Si imaginamos la siguiente figura, y observándola detenidamente, en que están superpuestas ambas configuraciones, se podrán aprender mejor las anteriores fórmulas. Posteriormente, cuando en siguientes temas, se traten los términos admitancia e impedancia, sería conveniente revisar estas fórmulas. Para profundizar en lo dicho ver:
Para completar el aprendizaje de esta pregunta, es necesario realizar múltiples ejercicios, a fin de adquirir destreza en su realización así como manejar adecuadamente las unidades oportunas (siempre que sea posible en el S.I.). |
![]() |
||||||
|
Imagen 34. Imagen de elaboración propia
|
|||||||
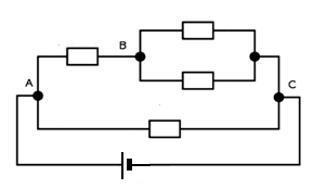
Dado el circuito de la figura, sabiendo que R1=100Ω, R2=200Ω, R3=300Ω y V=600V, calcular:
|
|
|
Imagen 35. Imagen de elaboración propia.
|
Dado el circuito de la figura, donde R1=200Ω, R2=200Ω, R3=100Ω y V=500V, calcular:
|
|
|
Imagen 37. Imagen de elaboración propia. |
Dado el circuito de la figura, donde R1=140Ω, R2=800 Ω, R3=200 Ω, R4=700 Ω y V=420V, calcular:
|
![]() |
|
Imágen 39. Licencia: Creative Commons. |







