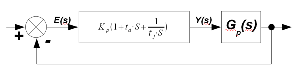
2.5. Controlador de acción proporcional, integral y derivativa (PID)
Es un sistema de regulación que trata de aprovechar las ventajas de cada uno de los controladores de acciones básicas, de manera, que si la señal de error varía lentamente en el tiempo, predomina la acción proporcional e integral y, mientras que si la señal de error varía rápidamente, predomina la acción derivativa. Tiene la ventaja de ofrecer una respuesta muy rápida y una compensación de la señal de error inmediata en el caso de perturbaciones. Presenta el inconveniente de que este sistema es muy propenso a oscilar y los ajustes de los parámetros son mucho más difíciles de realizar.
La salida del regulador viene dada por la siguiente ecuación:

Que en el dominio de Laplace, será:

Y por tanto la función de transferencia del bloque de control PID será:

Donde Kp, Ti y Td son parámetros ajustables del sistema
La respuesta temporal de un regulador PID sería la mostrada en la figura siguiente:
|
|
Imagen 11. Elaboración propia |
|
| Imagen 12. Elaboración propia |
![]() |
| Imagen 13. Elaboración propia |
Un ejemplo: Un sistema de control PID, sería la conducción de un automóvil.
Cuando el cerebro (controlador) da una orden de cambio de dirección o
velocidad a las manos y/o los pies (actuadores), si la maniobra
corresponde con una situación normal de conducción, el control
predominante del sistema es el proporcional, que modificará la
dirección hasta la deseada con más o menos precisión. Una vez que la
dirección esté próxima al valor deseado, entra en acción el control
integral que reducirá el posible error debido al control proporcional,
hasta posicionar el volante en el punto preciso. Si la maniobra se
efectúa lentamente, la acción del control diferencial no tendrá apenas
efecto. Si por el contrario es preciso que la maniobra se realice
rápidamente, entonces, el control derivativo adquirirá mayor
importancia, aumentando la velocidad de respuesta inicial del sistema,
para a posteriori entrar en acción el control proporcional y finalmente
el integral. Si fuese necesaria una respuesta muy rápida, entonces
prácticamente solo intervendría el sistema de control derivativo,
quedando casi anulados los efectos de un control proporcional e
integral, con ello se consigue una gran inmediatez en la respuesta,
aunque como se prima la velocidad de respuesta es a costa de que se
pierda precisión en la maniobra.
Símbolos empleados para identificar los tres tipos de controles.
Símbolos empleados para identificar los tres tipos de controles.
![]() |
| Imagen 14. Elaboración propia |

